Мэдээ
- Нүүр
- Мэдээ
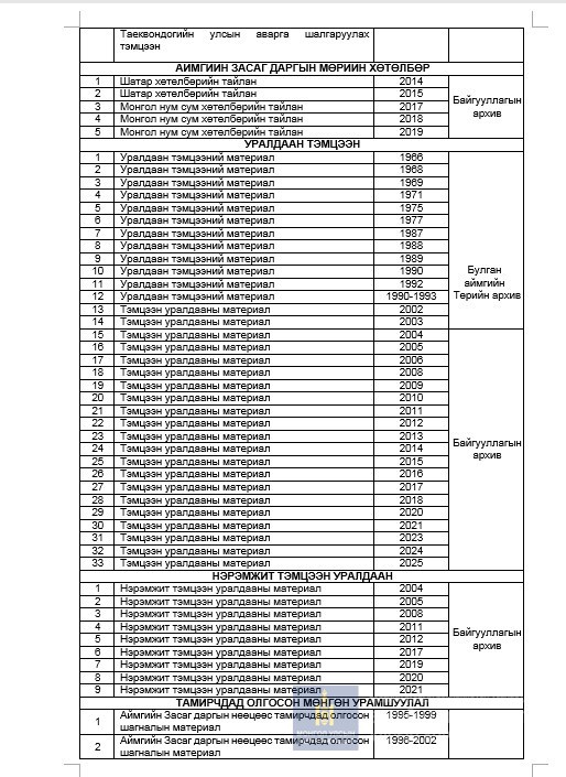
- БУЛГАН АЙМГИЙН БИЕИЙН ТАМИР, СПОРТЫН (ХОРОО) ГАЗРЫН ҮЙЛ АЖИЛЛАГААТАЙ ХОЛБОГДОЛТОЙ ТӨРИЙН БОЛОН БАЙГУУЛЛАГЫН АРХИВД ХАДГАЛАГДАЖ БУЙ БАРИМТЫН ЖАГСААЛТ
БУЛГАН АЙМГИЙН БИЕИЙН ТАМИР, СПОРТЫН (ХОРОО) ГАЗРЫН ҮЙЛ АЖИЛЛАГААТАЙ ХОЛБОГДОЛТОЙ ТӨРИЙН БОЛОН БАЙГУУЛЛАГЫН АРХИВД ХАДГАЛАГДАЖ БУЙ БАРИМТЫН ЖАГСААЛТ
Холбоотой мэдээлэл
Ачаалж байна ..
Та системд нэвтэрч орсоноор сэтгэгдэл бичих болон үнэлгээ өгөх боломжтой болно.